|
Objektiewe beramers vir die gesensoreerde Rayleigh-model onder verskillende verliesfunksies
Authors: Johan T. Ferreira1, Andriëtte Bekker1
Affiliations: 1Department of Statistics, University of Pretoria, South Africa
Correspondence to: Johan Ferreira
Postal address: Private Bag X20, Hatfield 0028, South Africa
How to cite this abstract:
Ferreira, J.T. & Bekker, A., 2014, ‘Objektiewe beramers vir die gesensoreerde Rayleigh-model onder verskillende verliesfunksie’,
Suid-Afrikaanse Tydskrif vir Natuurwetenskap en Tegnologie 33(1), Art. #1040, 2 pages.
http://dx.doi.org/10.4102/satnt.v33i1.1040
Note: A selection of conference proceedings: Student Symposium in Science, 27 and 28 October 2012, North- West University, South Africa. Organising committee: Mr Rudi W. Pretorius
(Department of Geography, University of South Africa), Dr Ettienne Snyders (South African Nuclear Energy Corporation [NECSA]) and Dr Cornie G.C.E. van Sittert (School of Physical and Chemical Sciences, North- West University).
Copyright Notice: © 2014. The Authors. Licensee: AOSIS OpenJournals. This is an Open Access article distributed under the terms of the
Creative Commons Attribution License, which permits unrestricted use, distribution,
and reproduction in any medium, provided the original work is properly cited.
|
Referaatopsommings
|
Open Access
|
Abstract
Objective Bayesian estimators for the censored Rayleigh model using different loss functions. The censored Rayleigh model (with wide applications in notably survival analysis) is studied under extended loss functions,
not previously considered, by deriving the Bayes estimators under these loss functions, and comparing them with a Monte Carlo simulation study via their risk functions using different objective priors.
Inhoud
Die Rayleigh-model is bekend in die literatuur as ’n model wat uitstekende resultate toon op die gebied van oorlewingsanalise, betroubaarheidsanalise en ook kommunikasie-ingenieurswese.Die waarskynlikheidsdigtheidsfunksie van dié verdeling is ’n spesiale geval van die bekende Weibull-verdeling en word aangedui deur f(x) = 2θxe-θx2, θ > 0.
Mostert (1999) gebruik Bayes-analise vir kankerleeftye en toon aan dat die gesensoreerde Rayleigh-model relatief eenvoudig is om te gebruik in stede van meer komplekse modelle soos die Weibull-model en die veralgemeende Rayleigh-model. Die effektiwiteit van die beramers onder twee bekende verliesfunksies, naamlik die kwadratiese verlies en die liniêre eksponensiaalverlies (bekend as LINEX) is met mekaar vergelyk. Dey en Dey (2011) ondersoek die volledige Rayleigh-model met ’n spesifieke a priori-verdeling, asook ’n nuwe verliesfunksie, soos voorgestel deur Al-Bayyati (2002).
In hierdie studie word die navorsing van Mostert (1999) veralgemeen na ’n nuwe familie van objektiewe a priori-verdelings
(wat sommige bekende a priori-verdelings insluit, bv dié van Jeffreys en Hartigan). Die kwadratiese verliesfunksie
is ook met die Al-Bayyati verliesfunksie
vergelyk, en die LINEX-verliesfunksie
is ook vergelyk met die veralgemeende entropie-verliesfunksie
deur die Bayesberamer van die onbekende parameter θ onder elke verliesfunksie te bepaal. Gevolglik is die risikofunksies (oftewel die verwagte verlies) van elke verliesfunksie met mekaar vergelyk. Hierdie proses is telkens herhaal deur verskillende objektiewe a priori-verdelings te kies en die resultate sodoende ook met mekaar te vergelyk. Dit is gedoen deur middel van ’n Monte Carlo-simulasiestudie in SAS/IML-taal.
 |
FIGURE 1: Gesimuleerde risiko (verwagte verlies) vir kwadratiese- en Al-Bayyati verliesfunksies, vir verskillende waardes van m.
|
|
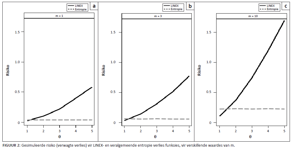
Die wenslike keuse van ’n verliesfunksie is die funksie wat minimum risiko ten toon stel. Uit die gesimuleerde resultate blyk dit dat, wat die negatiewe parameterkeuses van die Al-Bayyati verliesfunksie (c < 0) betref, dié funksie beter vaar in teenstelling met die kwadratiese verliesfunksie (sien Figuur 1), ongeag die keuse van die a priori-verdeling (gemeet deur minimum risiko). In die LINEX- en veralgemeende entropie-verliesfunksie het dit geblyk dat die entropie-verliesfunksie konstante risiko toon in teenstelling met die LINEX-verliesfunksie wat ’n niedalende risikofunksie getoon het. Met betrekking tot die LINEX-verliesfunksie is die risiko van die veralgemeende entropie-verliesfunksie baie klein. Soos voorheen, is dit ook nie beïnvloed deur keuse van die
a priori-verdeling nie (sien figuur 2). Daar word dus voorgestel dat die veralgemeende entropie-verliesfunksie ’n wenslike keuse van verliesfunksies is vir hierdie model as gevolg van hierdie voordelige eienskap.
 |
FIGURE 2: Gesimuleerde risiko (verwagte verlies) vir LINEX- en veralgemeende entropie verlies funksies, vir verskillende waardes van m.
|
|
Literatuurverwysings
Al-Bayyati, H.N., 2002, ‘Comparing methods of estimating Weibull failure models using simulation’, PhD thesis, College of Administration and Economics, Baghdad University.
Dey, S. & Dey, T., 2011, ‘Rayleigh distribution revisited via extension of Jeffreys prior and a new loss function‘, REVSTAT 9(3), 213–226.
Mostert, P.J., 1999, ‘A Bayesian Method to analyse cancer lifetimes using Rayleigh models‘, PhD thesis, Dept. of Statistics, University of South Africa, Pretoria.
|